搜索关键词…

千维计算器是一款功能十分强大的科学计算工具,适用于日常生活、商务工作、学习研究等多种场景。软件的功能十分强大,不仅支持基本的四则运算,还支持科学计算、房贷、税费、工资、个税等20多类计算器,长度、面积、体积、汇率等50多类单位换算,三角函数、幂函数等百余种数学公式辅助学习。软件采用简约的界面设计,个性化的快捷输入键盘,为用户带来极致的多维度计算体验。
1、丰富的计算功能:包括基本的加减乘除运算,高级的科学计算,以及实用的单位转换功能。
2、多语言支持:支持多种语言界面,方便用户在不同语言环境下使用。
3、云存储和同步:支持云存储和同步功能,使得用户可以在不同设备上无缝切换使用。
4、强大的自定义设置:在设置中,用户可以自定义键盘布局和调整界面透明度,满足个性化需求。
5、详尽的使用说明和帮助文档:提供了详细的使用说明和帮助文档,帮助用户更好地理解和使用各种功能。
1、首先我们点击下方蓝色按钮中的第一个【自由公式】按钮。

2、接着再点击右上角的【+】,创建自定义公式。

3、第一行填写【公式名称】,第二行填写【公式内容】,填完后点击右上角【√】保存。

4、保存完成后,就可以在【公式列表】最下方看到创建好的公式。

5、点进公式,【输入】对应的数值,即可自动完成计算。

1、功能设置专业,各种不同的计算模式都方便快捷。
2、免费的使用里面更多不同的工具,在计算的过程中享受更多精准的数据。
3、输入你需要填写的数字,就可以进行分步运算。
4、最常见的四则运算,也可以在上面进行快速的查找使用。
1、我们点击千维计算器下方蓝色按钮中的第一个【自由公式】按钮。

2、接着再点击右上角的【+】,创建自定义公式。

3、第一行填写【公式名称】,第二行填写【公式内容】,填完后点击右上角【√】保存。

4、保存完成后,就可以在【公式列表】最下方看到创建好的公式。

5、点进公式,【输入】对应的数值,即可自动完成计算。

1、先把n个数据测量值画在坐标纸上,如果呈现一种直线趋势,才可以进行最小二乘法(直线回归法)。

2、然后就是计算这些n个数据点的横坐标平均值和纵坐标的平均值:

3、接着计算所有点的横坐标求和结果,以及所有点的纵坐标求和结果:

4、然后是计算每个数据点横坐标的平方,然后求和,以及计算每个点横坐标乘以纵坐标的乘积,然后求和:

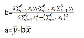
5、最后就是利用两个公式,把将要求的直线方程中的截距a和斜率b这两个参数代入上面的公式计算出来:

6、求出了a和b这两个参数之后,就可以得到直线方程:y=ax+b。这个时候还要利用这个方程,先取两个点,这两个点要求横坐标x1和x2距离比较远,这样误差会比较小(太近的两个点,误差比较大),然后分别代入刚求出来的直线方程y=ax+b,求出对应的y1和y2,然后把(x1,y1)和(x2,y2)描点在坐标纸上,这样就可以利用两点画出一条最终的回归直线了。

7、用户可以按照上述的创建自定义公式方法在千维计算器中创建最小二乘法的公式,然后进行方便计算。

1、功能设置专业,各种不同的计算模式都方便快捷。
2、免费的使用里面更多不同的工具,在计算的过程中享受更多精准的数据。
3、输入你需要填写的数字,就可以进行分步运算。
4、最常见的四则运算,也可以在上面进行快速的查找使用。